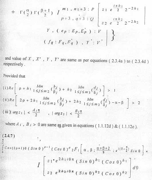
main

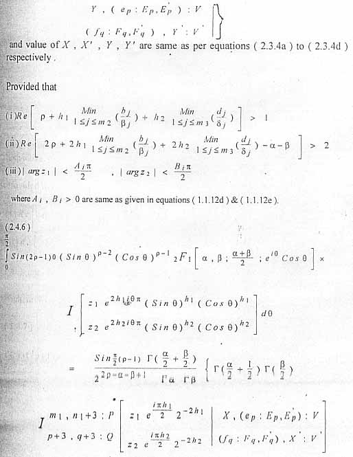
more | back

more | back